时间:2010-10-07更新时间:2010-10-07
如果您想了解我们的产品,可以随时拨打我公司的销售热线或点击下方按钮在线咨询价格!
立即拨打电话享更多优惠:0371-67772626
钢球受力而产生运动,在分析这种运动过程中,描述了钢球的轨迹。研究钢球运动学的目的,在于建立决定转速、装球率、有用功率和生产率的基础。从钢球产生的磨矿作用来看,这些都必然与钢球对矿石的冲击次数有关。
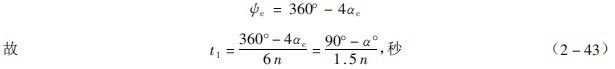
磨机一直是作圆运动的,但其中的钢球的运动轨迹,一部分是圆曲线,另一部分是抛 物线。因此,磨机转一转,钢球的运动未必也就是一个循环。钢球从脱离点A真抛到落回点B,比圆运动快,因而钢球总是超前的,换句话说,磨机转一转时,钢球不只循环运动一次。设%"是钢球作圆运动的时间,当磨机转一转时,用同样速度作圆运动的钢球转过的圆心角为
,因此
由公式(2-38)可知

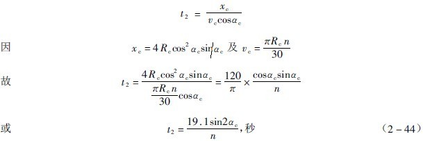
设t2为钢球作抛物落下的时间,取Ac点为坐标原点,则

从而钢球运动一个循环需要的时间为
磨机转一转钢球的循环次数于是为
由此式可知:钢球的循环次数取决于脱离角ac。当磨机转速不变时,不同的球层有不同的脱离角,它的循环次数也不同。磨机的转速越高,ac越小,循环次数也越少。到了钢球离心化时,ac=0,J=1,钢球贴在衬板上与磨机一起转动。
再从全部球荷来看,如图3-2-13,在磨机转一周的时间内,沿圆形轨迹经过断面AB的球的体积为
此处的L为磨机长:K=
设
为装球率,磨机内装球的体积为
。如果磨机转一转,全部钢球循环J次,则
于是
公式(2-20),指明
,所以R2(或由它算出的K)的值依从转速n而有一极限值。超过此极小值,多加的那些球就不能作抛物落下。所以上式中的J,既与装球率
有关,又通过K值而与磨机的转速有关。如图3-2-14表示的情况。图中曲线说明:转速率越大的,在同样装球率下,K值也越大,J值却较小。如果转速率相同,装球率越多,K值越小,J值却较大。这就是转速、装球量和影响冲击量的钢球循环次数的相互关系,从而况明了正确决定磨机转速的重要性。〔附〕图3-2-9中K、
和
的关系式的证明装球率(
)与球荷切面积(
)的关系为
球荷切面积包含作圆曲线运动的切面积(
1)和作抛物线运动的切面积(
2)两部分,即
故须先求出
1和
2。
如下图,任取一球层,它的半径是R,此层球从落回点B作圆运动到脱离点A经历的圆弧所对的圆心角
为
当球层半径的变化为dR时,弧形面积的变化为
因
则
于是
球荷作抛物线运动的微分球荷截面积为:
式中的
为筒体的角速度,t2为球在抛物线轨迹上运动的时间,
故
球荷截面积因此为
因
故
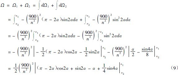
将此式代入公式(1)后,得到
下面作一例题说明公式(11)的用法。
例:设磨机直径为D,它的每分钟转数是
,试用公式(11)计算它的K、
和
的对应值。
解:计算此种题目的步骤如下:
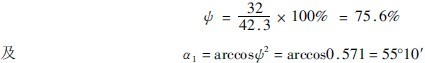
1、根据
从给定的
值算出a1;
2、因必须a2>a1,依次选取任意角a2;
3、由于角a1和a2用公式(11)算出
;
4、根据算出
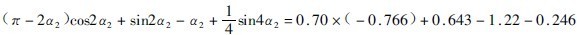
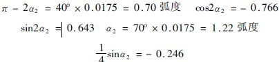
由题中给的数据,求得:

选取a2为70。进行计算。

上一篇:矿石自磨与砾磨工艺技术及设备
下一篇:决定磨机转速的方法