时间:2010-10-06更新时间:2010-10-06
如果您想了解我们的产品,可以随时拨打我公司的销售热线或点击下方按钮在线咨询价格!
立即拨打电话享更多优惠:0371-67772626
钢球落下冲击矿石的能量,来自它落到终点时的动能。此动能的大小,决定于钢球的落下高度。而磨机的转速又决定着钢球的落下高度,所以决定磨机转速的方法直接和分析钢球落下时的动能有关。由图3-2-11可知,钢球落下高度H值为
![]()
因为球是自由落体,所以到达落回点B的垂直速度为
由公式(2-1)可知
球下落时的水平分速度为
因此,它们的合速度为
即:
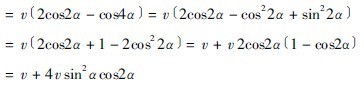
设球的质量为m,它在落回点B 的动能为
不难证明,此动能即磨机将球由落回点B提升到脱离点A所作的功(A1),和自脱离点用速度v将球抛出所作的功(A2)。因为
当钢球以速度vp到达落回点时,它的动能分解为两部分:一部分沿打击线OB(通过物体的打击接触点,并垂直于接触面的直线)冲击矿石;另一部分与打击线垂直,使钢球沿切线方向运动,这部分使矿石受磨剥而没有冲击作用。如果把vp分解为沿打击线的径向分速度vn和沿切向分速度v1,求出这两个分速度,就可以知道冲击矿石的能量和磨剥矿石的能量各占若干。
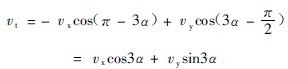
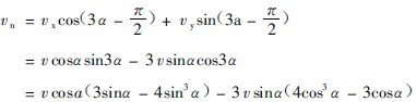
将速度vp的水平分速度vx,和垂直分速vy投到径向分速度vn的方向上,则
将此式展开及化简后,整理成
将vx和vy投到切线分速度v1的方向上,则
照上式的方法,将vx和vy代入,经化简和整理后,得到
切向分速度v1和法向分速度vn,在不同的落回点的方向和大小都是不同的,如图3-2-12所表示的。从图中可以看出,磨机转速越大,同一层球上升越高,脱离角越小。当脱离角为
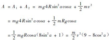
时,该层球的转速率为75%,v1=0,而vn=vp,切线分速度正在改变方向,已知各落回点的vn,就可算出冲击矿石的动能为:


上一篇:决定磨机转速的方法