销售热线

首页 / 新闻中心 / 产品知识 / 球磨机——确定钢球尺寸的过程与方法

球磨机——确定钢球尺寸的过程与方法

作者:天博机器时间:2010-10-10更新时间:2010-10-10

如果您想了解我们的产品,可以随时拨打我公司的销售热线或点击下方按钮在线咨询价格!
立即拨打电话享更多优惠:0371-67772626

在线咨询

由于钢球尺寸对磨矿的影响有重要作用,因此,长期以来选矿和粉碎工作者均在研究如何精确地确定钢球尺寸。然而,因为影响钢球尺寸的参变数太多,使这个问题很难解决。尽管这样,人们还是不断地探索,力求找到精确确定钢球尺寸的科学办法。

钢球

人们是从简单的方法上考虑,企图寻找钢球直径与球磨机给矿粒度之间单一的比例关系。于是,对50多台工作的球磨机进行调查研究,结果表明,钢球直径与给矿粒度之比宽达2.5-130,即:

D=kd (5-1)

式中 k———比例系数,2.5-130 范围。

比例系数k宽达2.5-130,简直无法使用,证明采用这种简单的方法是不行的。之所以不行是因为:1)钢球直径Db受众多因素影响,只抓住一个给矿粒度而丢开各种因素的做法本身就是不科学的。为大范围的误差产生打开了通道。2)钢球直径Db与各种影响因素之间关系错综复杂,没有任何依据可以说明钢球直径Db与给矿粒度d之间存在直接的及单一的比例关系,既然是这样,还要去寻找这种比例关系,方法本身就是不科学的,得出的关系也只能是虚假的,不可能有应用价值。

后来,人们在总结前面教训的基础上前进了一步,不再去寻找直接的比例关系,而是认为球径Db(mm)与给矿粒度d的某次方根成比例,而且考虑的因素有所增加,并把没有考虑的因素均包括在比例系数中。由于各个研究者考虑问题的出发点不同,并且各人的经验也不同,故提出的球径经验公式很多,下面列出选矿界经常用的几个经验公式:

拉苏莫夫公式:Db=id(5-2)

式中 i———球径系数;

n———矿料性质参数;

d———给矿粒度,即95%的过筛粒度,mm。

式(5-2)不能直接使用,必须针对特定矿石作两组试验,列出两个方程式成一组,从方程组求解出i及n才能得出特定的球径方程式,方可应用。为了方便应用,K.A拉苏莫夫提出,对中硬矿石可以直接使用下面的简便计算式计算Db(mm)。

奥列夫斯基公式:式中dk———磨矿的产品粒度,um。

戴维斯公式:

式中 d———80%过筛的给矿粒度;

k———经验修正系数,对不同硬度取不同系数值:硬矿石,取k=35;软矿石,取k=30。

榜德经验简便公式:

式中 d———80%过筛的给矿粒度,mm。

我国也有工程师采用优选数选择处理的办法并依靠拉苏莫夫球径经验公式求解推导后提出如下经验公式:

式中 d———95%过筛的给矿粒度,mm。

尽管如此,上述经验公式也仍然存在较大的问题:一是考虑的因素仍然太少,二是用一个经验系数就把其余因素均包括进去,是十分困难的。因而,这些经验公式的误差也仍然是大的。笔者通过试验证明,奥列夫斯基公式计算的结果普遍偏小得多;戴维斯公式计算的结果又普遍偏大;拉苏莫夫简便计算公式计算粗级别需用球径时结果偏小太多,计算细粒级所需球径还基本可行,但也略为偏大;榜德简便计算公式也有拉苏莫夫简便公式类似的毛病,等等。虽然如此,这些公式还是能用,只不过误差较大,如果知道它们的毛病,修正一下还是可供使用。

由于经验球径公式计算结果的误差大,这必然影响它们的应用。面对此情况,人们干脆通过试验来确定。试验确定球径的方法固然比经验公式计算的结果准确,但试验工作量大,耗时长和耗资大。细粒级的试验较好做,可在实验室磨机上进行试验,工作量不大能为人们所接受。而对于粗磨机,由于给矿块度大,只能在工业磨机上做试验,这个工作量就太大了,试验周期也很长,人力物力消耗均大,愿意做这个工作的厂矿就少了。所以,试验确定球径的方法虽然结果较可靠,但由于上述问题也难于更多地应用。

人们总是想用公式直接计算球径。一些年来仍然在经验公式上下功夫。既然前面的经验公式因考虑的因素太少而误差大,那就增加考虑的因素。在这方面开展研究的也不少,也提出几个包括因素多的球径经验公式,比较典型的是目前欧美国家及地区广泛应用的下面两个经验公式:阿里斯·查尔默斯公司的球径经验公式和诺克斯洛德公司的球径经验公式。阿里斯·查尔默斯公司公式为:

诺克斯洛德公司的球径Db经验公式为

上述两公司的球径经验公式考虑的因素多达五个,加上经验修正系数km它未考虑的因素,因此,应该说它们考虑了影响球径的主要因素,而且对某些因素还作了理论推导,应该说计算结果比前面那些经验公式要准确些。正因为这样,这两个经验球径公式目前在欧美国家及地区得到广泛的应用。

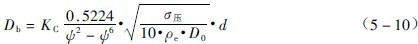
但是,上述两个经验球径公式在我国厂矿中应用却不方便。一是它们式子中均含有功指数Wi,我国选矿厂多数没有功指数Wi的资料,要补这种资料时又耗费较多,我国选厂多数只有普氏硬度系数f值。二是它们的给矿粒度F用的是80%,过筛粒度,单位um,而我国长期是使用95%过筛粒度,单位是mm或cm。况且,它们的经验系数是在国外的经验中总结出来的,国外的磨机直径大,直径大的磨机中钢球的位能大,可以弥补球径较小的不足。我国的磨机直径较小,需要的球径较大。故国外的经验未必适合我国选厂。鉴于上述情况,笔者从我国国情出发,用破碎力学原理和戴维斯等人的理论推导出一个球径db(cm)半理论公式:

此公式也考虑了矿石的强度及尺寸d,考虑了磨机直径(D0代表)、磨机转速率,并考虑了钢球的有效密度,对未考虑的因素用综合修正系数Kc来包括,而且不同粒度有不同Kc值。因此可以说,笔者推导出的这个球径公式是目前世界上惟一的一个半理论公式,考虑的因素多,因而,它的计算结果比任何一个球径经验公式更精确。

球磨机生产现场

以目前人类的认识水平看,要推导出球径的理论计算公式是不可能的,这是因为:1)不考虑破碎对象岩矿的力学强度的公式是不科学的,理论公式必须考虑破碎对象的力学强度,但由于岩矿力学性质的复杂性,目前的固体力学根本无法从理论上计算出岩矿的力学强度,而只能借助工程测量的结果,这就引入了试验的实测资料。2)现代数学也无法求解十多个未知数的方程,要把影响球径的十多个因素都包括进去求解是不可能的。3)有些影响因素目前还无法从理论上作出量的描述,不能不借助经验修正系数来修正。因此,目前要得到理论公式是不可能的,只能得到半理论公式。从这一点上说,上述的半理论公式在目前来说也算是较完善的了,若对它进行认真验证和修正,是应该在我国得到广泛的应用。笔者又对此半理论公式进行了修正,使此公式在粗磨、中磨和细磨的广泛领域均能精确地计算特定条件下所需的球径。经若干选厂的工业试验和生产应用证明,球径半理论公式能解决各粒级下球径的精确计算问题。

在线留言

姓名:

电话:

需求: